"세계 최초" 누군가는 이 단어에 벅찬 가슴떨림을 느낄 것이고, 누군가는 이전에 관심없던 세상에 발을 들이게 될 것입니다.
그래서 이 타이틀을 얻기 위해 많은 사람들이 그렇게 노력하는 것이겠죠.
디지털 카메라 시장의 주도권은 이제 확실히 DSLR에서 미러리스로 넘어왔습니다. 시장 자체가 축소된 것은 아쉬운 일이지만 새로운 영역으로 계속 발전하고 있는 점은 희망적이라 하겠습니다. 미러리스 카메라 시장에서 가장 먼저 두각을 보인 브랜드는 역시나 누구보다 앞서 공을 들인 소니지만 DSLR의 시장의 강자 캐논이 기술력과 물량 공세로 빠르게 시장을 양분하며 경쟁하고 있죠. EOS RP라는 엔트리 모델이 있긴 하지만 사실상 EOS R이란 모델 하나로 이뤄낸 성과라 놀랍습니다. 새로운 시장에서도 캐논의 브랜드 파워는 여전히 강력한 것 같습니다. 올해 발표될 EOS R5, R6의 성패에 따라 미러리스 시장에서도 선두가 될지도 모르겠고요.

캐논 RF 마운트 렌즈 대부분이 빨간 띠를 두른 고가의 L 렌즈다 보니 저렴한 EF 렌즈와 렌즈 어댑터를 결합해 렌즈군을 구성하거나 써드파티 제조사의 렌즈들에 눈을 돌리는 사용자들이 적지 않습니다. 하지만 써드파티 제조사에선 아직 RF 마운트에 대응하는 AF 렌즈가 출시되지 않아 아쉬움이 있었는데 드디어 '세계 최초의 써드파티 RF 마운트 AF 렌즈'가 국내 렌즈 제조사 삼양에서 출시됐습니다.

삼양에서 출시한 RF 마운트 AF 렌즈는 2종으로, 14mm F2.8 광각 렌즈와 85mm F1.4 망원 렌즈입니다. 광각과 망원에서 가장 사랑받는 초점거리의 렌즈를 경쟁력있는 사양으로 출시한 것이 눈에 띕니다. 그 중 제가 사용하게 된 렌즈는 14mm F2.8 렌즈로 광각 렌즈에서 좋은 평가를 받고 있는 삼양의 신제품이라 기대가 됐습니다.



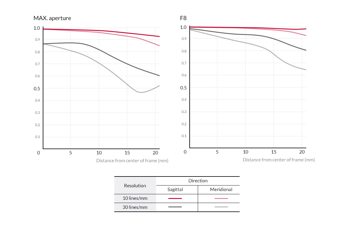
렌즈의 사양을 간단히 살펴보면
초점 거리 : 14mm
조리개 값 : F2.8 - 22
구성 : 10군 14매 (비구면 렌즈 3매, 고굴절 렌즈 1매, 저분산 렌즈 2매)
화각 : 113.9˚
최단 촬영 거리 : 20cm
조리개 날 수 : 7매
크기 : 89 x 95.3 mm
무게 : 484 g
35mm 풀 프레임 포맷에선 상당히 광활한 14mm 초점거리로 풍경에 특화돼 있지만 다른 촬영에서도 재미있는 결과물을 얻을 수 있을 것 같습니다. 10군 14매 구성 중 비구면 렌즈와 저분산 렌즈 등의 고급 렌즈를 총 6매 포함시킨 고급 렌즈 설계를 적용했습니다. 크기와 무게는 풀 프레임용 14mm 초광각 렌즈임을 감안하면 작고 가벼운 편입니다. F2.8 조리개 값은 일반적인 단렌즈에 비해 밝은 편은 아니지만 크기와 무게를 적당히 타협하면서 야간/실내 촬영에도 효과적으로 대응하고 있는 합리적인 선택이라고 하겠습니다.
아래는 홈페이지의 제품 설명 페이지입니다.
www.samyangtech.com/shop/samyang-af-14mm-f2-8-rf/
삼양테크
삼양렌즈총판,아즈덴,타스캠,펄사,유콘,스테이너,엘칸배터리,골프거리측정기,야시경,열화상기
www.samyangtech.com


렌즈의 실루엣은 최근 발매된 삼양의 AF 렌즈들과 동일합니다. 메탈 소재와 별다른 굴곡 없이 단순한 원기둥 형태의 경통, 넓은 초점 링, 빨간색 띠가 그것입니다. 개인적으로 이 디자인은 소재의 질감과 컬러 톤이 소니 A7 시리즈와 가장 잘 어울린다고 생각하지만 워낙에 심플한 스타일이라 캐논,니콘의 DSLR 카메라와도 위화감 없는 조화를 보입니다. 캐논 EOS R 시리즈와의 조합도 궁금하네요.



위 사진은 캐논 DSLR, 미러리스용으로 발매된 세 개의 14mm F2.8 렌즈입니다. 왼쪽 RF 마운트 렌즈와 가운데 EF 마운트 렌즈는 전체적인 실루엣이 비슷하며 크기와 무게 역시 대동소이합니다. 하지만 렌즈 구성이 다른 것으로 볼 때 단순히 EF 마운트 렌즈에 플레인지백만큼 경통을 늘려 출시한 것이 아닌, 독자 개발을 한 것을 알 수 있고요. 오른쪽은 지난해 발매된 RF 마운트 MF 렌즈입니다. 삼양이 AF 렌즈와 MF 렌즈의 외형을 완전히 ㄷㅏ르게 가져가고 있는 것을 알 수 있는 비교입니다.

EOS R 카메라와 함께 사용할 수 있도록 웨더 실링이 적용됐으며 접안렌즈쪽에 필터를 부착할 수 있도록 후면 필터 홀더가 마운트부에 마련됐습니다. 볼록한 대물렌즈 구조 때문에 필터를 착용하기 어려운 렌즈 특성을 반영한 장치입니다.
본격적인 촬영에 앞서 삼양 AF14mm F2.8 RF 렌즈로 촬영한 예제를 첨부합니다. 삼양테크 홈페이지에 게시된 포토그래퍼들의 사진들로 14mm 광각으로 본 다양한 시선이 담겨 있습니다.
<삼양 AF 14mm F/2.8 RF 렌즈로 촬영한 이미지>
출처 : 삼양테크 홈페이지








그리고 앞서 설명한 렌즈를 삼양렌즈 체험단을 통해 약 2주간 사용하게 됐습니다. 다음 포스팅부터 본격적인 렌즈 개봉기와 실제 촬영 후기를 남겨보도록 하겠습니다.


삼양 AF 14mm F2.8 RF 렌즈 사용 후기 포스팅 전체 보기
세계 최초 RF 마운트 써드파티 렌즈, 삼양 AF 14mm F/2.8 RF 소개
"세계 최초" 누군가는 이 단어에 벅찬 가슴떨림을 느낄 것이고, 누군가는 이전에 관심없던 세상에 발을 들이게 될 것입니다. 그래서 이 타이틀을 얻기 위해 많은 사람들이 그렇게 노력하는 것이�
mistyfriday.kr
삼양 초광각 렌즈 AF 14mm F2.8 RF 사용 후기 - 언박싱 & 첫인상
세계 최초 캐논 RF 마운트 써드 파티 렌즈 삼양 AF 14mm F2.8 RF 렌즈를 사용하고 있습니다. 컴팩트 디자인에 14mm 초광각, 합리적인 가격에 AF를 이용할 수 있는 점 등등 그동안 삼양 렌즈들이 가진 �
mistyfriday.kr
세계 최초 써드파티 RF 렌즈, 삼양 AF 14mm F/2.8 RF - 특징과 장단점
세계 최초 써드파티 RF 마운트 AF 렌즈 -길다 길어- 삼양 AF 14mm F2.8RF 렌즈의 세 번째 후기입니다. 렌즈 소개와 가벼운 언박싱/첫인상에 이어 본격적으로 2주 가량 이 렌즈를 사용하며 느낀 특징과 �
mistyfriday.kr
세계 최초 써드파티 RF 렌즈, 삼양 AF 14mm F/2.8 RF - 소감 및 총평
RF 시스템 최초의 써드파티 AF 렌즈, 삼양 AF 14mm F2.8 RF 렌즈의 마지막 사용 후기입니다. 지난 렌즈 소개/첫인상/평가 편에 이어 마지막으로 약 보름간 EOS R과 삼양 AF 14mm F2.8 RF 렌즈를 사용하며 느��
mistyfriday.kr
